康比电子roducts
国产晶振
台产晶振
进口晶振
- 日本大真空晶振
- 爱普生晶振
- 精工晶振
- 西铁城晶振
- 村田晶振
- 进口KSS晶振
- NDK晶振
- 大河石英晶振
- 美国CTS晶振
- 微晶晶振
- Abracon晶振
- ECS晶振
- Golledge晶振
- IDT晶振
- Jauch晶振
- Pletronics晶振
- 拉隆晶振
- SiTime晶振
- Statek晶振
- 格林雷晶振
- 康纳温菲尔德晶振
- 日蚀晶振
- 瑞康晶振
- 维管晶振
- AEK晶振
- AEL晶振
- Cardinal晶振
- Crystek晶振
- Euroquartz晶振
- FOX晶振
- Frequency晶振
- Geyer晶振
- KVG晶振
- ILSI晶振
- MERCURY晶振
- MMDCOMP晶振
- MtronPTI晶振
- QANTEK晶振
- QuartzCom晶振
- Quarztechnik晶振
- Suntsu晶振
- Transko晶振
- Wi2Wi晶振
- Fujicom晶振
- Interquip晶振
- ITTI晶振
- Lihom晶振
- MTI晶振
- NAKA晶振
- Oscilent晶振
- PDI晶振
- Rubyquartz晶振
- Shinsung晶振
- SMI晶振
- CTECH晶振
- IQD晶振
- Microchip晶振
- NJR晶振
- Silicon晶振
- Anderson晶振
- Fortiming晶振
- CORE晶振
- NIPPON晶振
- NICKC晶振
- QVS晶振
- Bomar晶振
- Bliley晶振
- GED晶振
- FILTRONETICS晶振
- STD晶振
- Q-Tech晶振
- Wenzel晶振
- NEL晶振
- EM晶振
- PETERMANN晶振
- FCD-Tech晶振
- HEC晶振
- FMI晶振
- Macrobizes晶振
- AXTAL晶振
- Sunny晶振
- 瑞萨Renesas晶振
- SKYWORKS晶振
- Dynamic迪拉尼晶振
车载电子
数码电子
智能家居
时计产品
无线网络
智能穿戴
医疗器械
无人机
0755-27876201
常见问题
更多>>.jpg)
日本进口晶体,贴片晶振DMX-26S,无铅晶体小型贴片石英晶振主要采用了,“1TJS060FJ4A901Q”,先进的晶片的抛光工艺技术,是晶体行业中石英晶片研磨技术中表面处理的最高技术,最终使晶片表面更光洁,平行度及平面度更好,大大的降低谐振电阻,使精度得到了很大的提升.改变了传统的生产工艺,使产品在各项参数得到了很大的改良.
.jpg)
| 料号 | DMX-38 | ||||
| 频率范围 | 32.768KHZ | ||||
| 负载电容 |
12.5pf |
||||
| 励振ベ | 10μW (200μW max.) | ||||
| 周波数偏差 | ±30×10−6,±50×10−6,±100×10−6 (at 25℃) | ||||
| 直列抵抗 | 300Ωmax | 200Ωmax | 150Ωmax | 120Ωmax | 100Ωmax |
| 周波数温度特性 | ±50×10−6/ー40~+85℃ (Ref. to 25℃ ) | ||||
| ±100×10−6/ー40~+125℃ (Ref. to 25℃ ) | |||||
| ±200×10−6/ー40~+150℃ (Ref. to 25℃ ) | |||||
| 保存温度范围 | ー40~150℃ | ||||
| 信頼性仕様 | AEC-Q200 | ||||
| 标准包装 | 3000/pcs | ||||
.jpg)

.jpg)
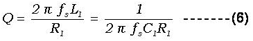
电气品质因子( Quality Factor, Q ):
对于石英晶体共振子, “1TJS060FJ4A901Q”,电气质量因子Q是很重要的一个特性. 电气质量因子可以用下列公式(6)表示 :
1959大和喀左长谷川在神户市成立加工电子零件和石英晶体.1965开始批量生产的晶体谐振器零件.
1970东京办事处.
1976打开宫崎厂(目前九州大真空公司)为音叉型石英晶体谐振器生产.
1981建立大真空(香港)公司开始提供音叉型石英晶体谐振器的香港和中国市场.
1985开德岛第二厂开始生产陶瓷产品打开配送中心在加古川市.
1989更改公司名称大真空第三十周年.建立了PT.KDS印度尼西亚启动海外生产晶体谐振器.
1996取得ISO9001(国际标准化组织质量管理标准).
2001扩大生产规模天津该公司地板
2003成立上海锐致国际贸易有限公司加强在中国的销售.以和谐电子公司为本公司合并的子公司加强石英器件业务.
2010建立大真空(泰国)有限公司
2012扩大在加古川市中央实验室的地板尺寸.
大真空电子多年来在环保工作上持续努力,“1TJS060FJ4A901Q”,期望藉由环境管理、自发且持续的改善,达到改善环境、减少环境冲击的实质目的.本公司于2002年6月开始推行ISO 14001环境管理系统,持续改善整体环境并有助提高经营绩效,同时强化内外销竞争力与提升公司形象.我们承诺将会持续维护ISO 14001环境管何可能污染环境的因素,善尽社会责任.藉由环境稽核确认环境改善绩效,使公司所有活动过程均能达成环境目标及标的,并期望透过全体员工共同努力,贡献爱护地球的一份心力.
1、技术支持:全方位技术指导,专业的技术支持让您感受到前所未有的后顾无忧.
2、客服咨询:专业的销售团队,耐心为您解答任何疑问,让您的消费得到保障.
3、质量保证,诚信为本,上我司以“以科技为动力,以质量求生存,”为理念.
4、提升业绩,降低成本为您的产品量身订制,免费取样,为您做到低成本,高效率.
3、质量保证,诚信为本,上我司以“以科技为动力,以质量求生存,”为理念.
4、提升业绩,降低成本为您的产品量身订制,免费取样,为您做到低成本,高效率.

康比电子联系方式:
Q Q: 577541227
电 话:0755-27876201
手 机: 13728742863
Email: kangbidz@163.com
网 址: http://www.kangbidz.com/
地 址: 广东省深圳市宝安区41区33栋6层
Q Q: 577541227
电 话:0755-27876201
手 机: 13728742863
Email: kangbidz@163.com
网 址: http://www.kangbidz.com/
地 址: 广东省深圳市宝安区41区33栋6层






