康比电子roducts
国产晶振
台产晶振
进口晶振
- 日本大真空晶振
- 爱普生晶振
- 精工晶振
- 西铁城晶振
- 村田晶振
- 进口KSS晶振
- NDK晶振
- 大河石英晶振
- 美国CTS晶振
- 微晶晶振
- Abracon晶振
- ECS晶振
- Golledge晶振
- IDT晶振
- Jauch晶振
- Pletronics晶振
- 拉隆晶振
- SiTime晶振
- Statek晶振
- 格林雷晶振
- 康纳温菲尔德晶振
- 日蚀晶振
- 瑞康晶振
- 维管晶振
- AEK晶振
- AEL晶振
- Cardinal晶振
- Crystek晶振
- Euroquartz晶振
- FOX晶振
- Frequency晶振
- Geyer晶振
- KVG晶振
- ILSI晶振
- MERCURY晶振
- MMDCOMP晶振
- MtronPTI晶振
- QANTEK晶振
- QuartzCom晶振
- Quarztechnik晶振
- Suntsu晶振
- Transko晶振
- Wi2Wi晶振
- Fujicom晶振
- Interquip晶振
- ITTI晶振
- Lihom晶振
- MTI晶振
- NAKA晶振
- Oscilent晶振
- PDI晶振
- Rubyquartz晶振
- Shinsung晶振
- SMI晶振
- CTECH晶振
- IQD晶振
- Microchip晶振
- NJR晶振
- Silicon晶振
- Anderson晶振
- Fortiming晶振
- CORE晶振
- NIPPON晶振
- NICKC晶振
- QVS晶振
- Bomar晶振
- Bliley晶振
- GED晶振
- FILTRONETICS晶振
- STD晶振
- Q-Tech晶振
- Wenzel晶振
- NEL晶振
- EM晶振
- PETERMANN晶振
- FCD-Tech晶振
- HEC晶振
- FMI晶振
- Macrobizes晶振
- AXTAL晶振
- Sunny晶振
- 瑞萨Renesas晶振
- SKYWORKS晶振
- Dynamic迪拉尼晶振
车载电子
数码电子
智能家居
时计产品
无线网络
智能穿戴
医疗器械
无人机
0755-27876201
常见问题
更多>>
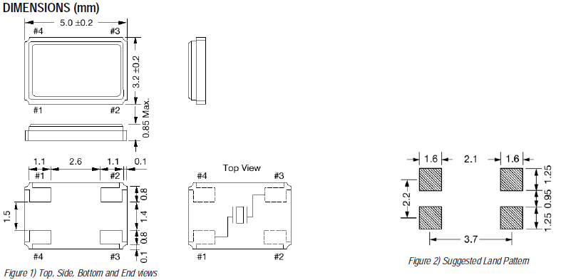
ECS晶振,贴片晶振,ECX-53B晶振,ECS-320-8-30B-CKM晶振,小型贴片石英晶振,外观尺寸具有薄型表面贴片型石英晶体谐振器,特别适用于有小型化要求的市场领域,比如智能手机,无线蓝牙,平板电脑等电子数码产品.晶振本身超小型,薄型,重量轻,晶体具有优良的耐环境特性,如耐热性,耐冲击性,在办公自动化,家电相关电器领域及Bluetooth,Wireless LAN等短距离无线通信领域可发挥优良的电气特性,满足无铅焊接的回流温度曲线要求.
超小型石英贴片晶振晶片的设计:石英晶片的长宽尺寸已要求在±0.002mm内,由于贴片晶振晶片很小导致晶体的各类寄生波(如长度伸缩振动,面切变振动)与主振动(厚度切变振动)的耦合加强,从而造成如若石英晶振晶片的长度或宽度尺寸设计不正确、使得振动强烈耦合导致石英晶振的晶片不能正常工作,从而导致产品在客户端不能正常使用,晶振的研发及生产超小型石英晶振完成晶片的设计特别是外形尺寸的设计是首要需解决的技术问题,公司在此方面通过理论与实践相结合,模拟出一整套此石英晶振晶片设计的计算机程序,该程序晶振的晶片外形尺寸已全面应用并取得很好的效果。
.jpg)
| ECS晶振规格 | 单位 | ECX-53B贴片晶振频率范围 | 石英晶振基本条件 | |
| 标准频率 | f_nom | 8.00MHZ~150.0MHZ | 标准频率 | |
| 储存温度 | T_stg | -40°C ~ +125°C | 裸存 | |
| 工作温度 | T_use | -20°C ~ +70°C | 标准温度 | |
| 激励功率 | DL | 200μW Max. | 推荐:1μW ~ 100μW | |
| 频率公差 | f_— l |
±50 × 10-6 (标准), (±15 × 10-6 ~ ±50 × 10-6 可用) |
+25°C 对于超出标准的规格说明,请联系我们以便获取相关的信息, http://www.kangbidz.com | |
| 频率温度特征 | f_tem | ±30 × 10-6/-20°C ~ +70°C | 超出标准的规格请联系我们. | |
| 负载电容 | CL | 8pF ,10PF,12PF,20PF | 不同负载电容要求,请联系我们. | |
| 串联电阻(ESR) | R1 | 如下表所示 | -40°C — +85°C, DL = 100μW | |
| 频率老化 | f_age | ±5 × 10-6 / year Max. | +25°C,第一年 | |
.jpg)


ECS晶振各项注意事项:
晶振产品使用每种产品时,请在石英晶振规格说明或产品目录规定使用条件下使用。因很多种晶振产品性能,以及材料有所不同,所以使用注意事项也有所不同,比如焊接模式,运输模式,保存模式等等,都会有所差别。
晶振产品的设计和生产直到出厂,都会经过严格的测试检测来满足它的规格要求。通过严格的出厂前可靠性测试以提供高质量高的可靠性的石英晶振.但是为了石英晶振的品质和可靠性,必须在适当的条件下存储,安 装,运输。请注意以下的注意事项并在最佳的条件下使用产品,我们将对于客户按自己的判断而使用石英晶振所导致的不良不负任何责任。
机械振动的影响
当晶振产品上存在任何给定冲击或受到周期性机械振动时,比如:压电扬声器,压电蜂鸣器,以及喇叭等,输出频率和幅度会受到影响。这种现象对通信器材通信质量有影响。尽管晶振产品设计可最小化这种机械振动的影响,我们推荐事先检查并按照下列安装指南进行操作。ECS晶振,贴片晶振,ECX-53B晶振,ECS-320-8-30B-CKM晶振

1、技术支持:全方位技术指导,专业的技术支持让您感受到前所未有的后顾无忧.2、客服咨询:专业的销售团队,耐心为您解答任何疑问,让您的消费得到保障.
3、质量保证,诚信为本,上我司以“以科技为动力,以质量求生存,”为理念.
4、提升业绩,降低成本为您的产品量身订制,免费取样,为您做到低成本,高效率.

康比电子联系方式:Q Q: 577541227
电 话:0755-27876201
手 机: 13728742863
Email: kangbidz@163.com
网 址: http://www.kangbidz.com/
地 址: 广东省深圳市宝安区41区33栋6层






