企业博客
更多>>采用塑料QFN封装MEMS晶振的拆解表明
                        来源:http://www.kangbidz.com 作者:康比电子 2019年06月14
                    
                
                        几十年来,几乎所有电子系统中的频率参考应用都使用了石英晶振(XTAL)和振荡器(XO),因为它们具有稳定性和卓越的电气性能.但是,性能限制和可靠性问题仍然困扰着XO.
pMEMS谐振器
pMEMS谐振器由具有单晶硅(SCS)的压电材料(AlN)组成,因此结合了压电石英谐振器和硅MEMS晶振的优点.与典型的纯硅电容谐振器不同,pMEMS谐振器不需要直流偏置电压进行操作.
复合pMEMS谐振器改善了运动阻抗和线性功率处理,并保持了长期频率稳定性(图1).受益于压电材料的强机电耦合和SCS的稳定性和低阻尼,pMEMS谐振器还抑制了运动阻力和提升质量因子.
	 当体声波在谐振器主体中沿不同方向分散时,通过设计谐振器的厚度和宽度以使来自其他方向的损失最小化,可以使所需长度方向上的能量最大化.例如,典型的107-MHz谐振器图显示测得的Q值为7453,IL为-12.4dB(图2).
    当体声波在谐振器主体中沿不同方向分散时,通过设计谐振器的厚度和宽度以使来自其他方向的损失最小化,可以使所需长度方向上的能量最大化.例如,典型的107-MHz谐振器图显示测得的Q值为7453,IL为-12.4dB(图2).
	 
图3示出了具有WLP的550×450×200mm3谐振器的3D视图.为了正确看待事物,将切块的WLPpMEMS谐振器放在一粒米上(图4).最终,pMEMS谐振器被引线键合到IC管芯以形成振荡器(图5).
	 
                pMEMS谐振器
pMEMS谐振器由具有单晶硅(SCS)的压电材料(AlN)组成,因此结合了压电石英谐振器和硅MEMS晶振的优点.与典型的纯硅电容谐振器不同,pMEMS谐振器不需要直流偏置电压进行操作.
复合pMEMS谐振器改善了运动阻抗和线性功率处理,并保持了长期频率稳定性(图1).受益于压电材料的强机电耦合和SCS的稳定性和低阻尼,pMEMS谐振器还抑制了运动阻力和提升质量因子.
	1.在pMEMS谐振器中,压电层和电极堆叠在SCS层的顶部.
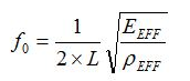
    将电刺激施加到顶部电极之一激励压电层,其中横向压电系数e31在整个装置中产生体声波.然后谐振器横向振动,并且机械运动通过压电层转换以由另一个顶部电极感测.器件的横向长度L,组合谐振器本体EEFF的有效弹性常数和有效质量密度决定了基模的谐振频率.


	2.典型pMEMS谐振器的S21图表示测得的Q值为7453,IL为-12.4dB.
    pMEMS谐振器的制造涉及与晶圆级封装(WLP)的CMOS有源晶振兼容工艺.首先,用压电和电极材料沉积SOI晶片.在图案化电极之后,通过图案化压电层和SCS叠层来限定谐振器本体.随后,帽晶片结合到器件晶片,并且沉积焊盘金属层以形成WLP器件的气密密封.图3示出了具有WLP的550×450×200mm3谐振器的3D视图.为了正确看待事物,将切块的WLPpMEMS谐振器放在一粒米上(图4).最终,pMEMS谐振器被引线键合到IC管芯以形成振荡器(图5).

	    在这张照片中,将单个晶圆级封装的pMEMS晶振放在一粒米上.
	
采用塑料QFN封装的pMEMS振荡器的拆解表明pMEMS谐振器通过引线键合到IC管芯.

采用塑料QFN封装的pMEMS振荡器的拆解表明pMEMS谐振器通过引线键合到IC管芯.
	    正在发挥作用的一个潜在的石英替代候选者是压电转换的pMEMS晶振,特别是对于高频,低相位噪声参考应用.根据IDT晶振,冲击和振动测试以及长期稳定性测量证明,pMEMS振荡器可以成为高频定时参考应用中XO的可靠且经济的替代品.
                
    正在载入评论数据...
  
                相关资讯
- [2020-07-11]华为多次被打压,网络通信设备晶...
- [2019-08-30]温补晶振如何在额定温度范围之外...
- [2019-08-17]超低均方根抖动有源晶振时钟解决...
- [2019-08-01]爱普生超小型32.768K音叉晶体单...
- [2019-07-19]瑞士微晶202684-MC03时钟32.768...
- [2019-07-09]美国市场是目前ILSI晶振的重要主...
- [2019-07-05]村田汽车电子晶振提供高级驾驶辅...
- [2019-06-14]采用塑料QFN封装MEMS晶振的拆解...






 
    
